| 1 |
ACPC |
2-Aminocyclopentanecarboxylic acid |
 |
Beta amino acid |
Foldamers |
| 2 |
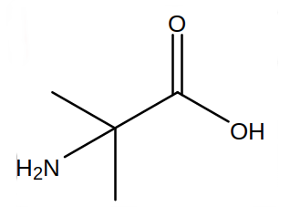
Aib |
α-aminoisobutyric acid |
 |
Beta amino acid |
Foldamers |
| 3 |
Aic |
4-aminoisocaproic acid |
 |
gamma amino acid |
Foldamers |
| 4 |
Ac6c |
1âaminocyclohexaneâ1âcarboxylic acid |
 |
dialkylâsubstituted αâamino acid |
Foldamers |
| 5 |
BOC |
tert-butoxycarbonyl |
 |
protecting group |
|
| 6 |
AZL |
azidolysine |
 |
modified amino acid (has an azido group at the Δ position of lysine) |
Foldamers |
| 8 |
NLE |
norleucine |
 |
Isomer of Leucine |
Foldamers |
| 9 |
AHP |
homonorleucine |
 |
Isomer of Leucine, 2-AMINO-HEPTANOIC ACID |
Foldamers |
| 10 |
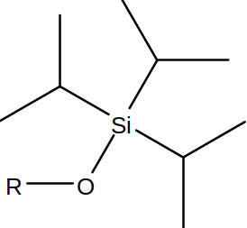
OTIPS |
Oxy Tri Iso Propyl Silyl |
 |
protecting group |
|
| 11 |
Nspe |
(S)âNâ(1âphenylethyl)glycine |
 |
Nâglycine |
Foldamers |
| 12 |
NLys |
Nâ(4âaminobutyl)glycine |
 |
Nâglycine |
|
| 13 |
Nbtm |
Nâ(1âbenzylâ1,2,3âtriazolylmethyl)glycine |
 |
Nâglycine |
Foldamers |
| 13 |
Nchtm |
Nâ(1âcyclohexylmethylâ1,2,3âtriazolylmethyl)glycine |
 |
Nâglycine |
Foldamers |
| 14 |
Naetm |
Nâ(1â(2âaminoethyl)â1,2,3âtriazolylmethyl)glycine |
 |
Nâglycine |
Foldamers |
| 15 |
Nbtm+ |
Nâ(1âbenzylâ3âmethylâ1,2,3âtriazolium methyl)glycine |
 |
Nâglycine |
Foldamers |
| 16 |
Nchtm+ |
Nâ(1âcyclohexylmethylâ3âmethylâ1,2,3âtriazolium methyl)glycine |
 |
Nâglycine |
Foldamers |
| 17 |
Naetm+ |
Nâ(1â(2âaminoethyl)â3âmethylâ1,2,3âtriazolium methyl)glycine |
 |
Nâglycine |
Foldamers |
| 18 |
CBAA |
cyclobutane amino acid |
 |
Beta amino acid |
Foldamers |
| 19 |
Iva |
Isovaline |
 |
α,αâdialkylated amino acids |
Foldamers |
| 20 |
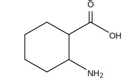
ACHC |
2âAminocyclohexanecarboxylic acid |
 |
Beta amino acid |
Foldamers |